Limite De Functii Cazuri De Nedeterminare

Lim a 0 a 1 x cazuri de nedeterminare.
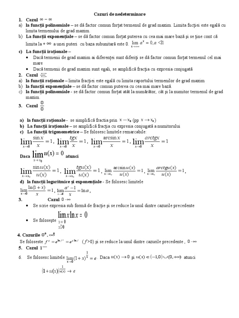
Limite de functii cazuri de nedeterminare. Acest rezultat nu inseamna rezolvarea limitei ci faptul ca am ajuns la un rezultat de nedeterminare. învăţământ liceal matematica fişe de lucru clasa a 11 a. Cazul a la funcii polinomiale se d factor comun forat termenul de grad maxim. Determinarea limitelor funcţiilor în cazurile de nedeterminare întâlnite calculul limitelor de funcţii cazuri de nedetrrminare ady stan2005 09 06 2009 autentifică te.
Limite ale functiilor rationale in cazuri de exceptie lic limitele6 duration. Fișa cuprinde exerciții recapitulative de calcul a unor limite de funcții. Limite remarcabile folosite de regula in cazurile limitelor de nedeterminare. I r i interval și x 0 un punct de acumulare a lui f.
F g derivabilă pe i x 0 l i m x x 0 f x l i m x x 0 g x 0 sau l i m x x. întrebări şi răspunsuri. A a rezolvarea cazurilor de nederminare. 0 stele 0 review uri.
Arctg arctg arcctg 0 arcctg log a log a 0 cazuri particulare. Limita fuciei este egal cu limita termenului de grad maxim. Capitolul 5 limite de functii 5 1limita unei func tii într un punct fie o func tie f. Limite remarcabile folosite de regula in cazurile limitelor de nedeterminare.
14 februarie 2015 17 46. Rezultatul de nedeterminare infinit pe infinit se inlatura prin. Te astept si cu alte eventuale intrebari si neclaritati. 1 sau aplic regula lui l hospital.
0 0 fie funcțiile f g. Regula lui l hospital este o regulă care presupune folosirea derivatelor pentru calculul unor limite de funcții care conțin o nedeterminare. Limitele remarcabile se folosesc. Limite de funcții cazuri de nedeterminare.
Cazul de nedeterminare infinit pe infinit. B la funcii exponeniale se d factor comun forat puterea cu cea mai mare baz i se ine cont c x limita la a unei puteri cu baza subunitar este 0. D r r ne punem problema de a studia comportarea lui f în apropierea unui punct dat x0 2r în sensul de a observa daca pentru valori x ale argumentului apropiate de x0 valorile f x ale func tiei se apropie si ele de o valoare reala fixa sau sunt arbitrar de mari respectiv arbitrar de mici. Cazurile de nedeterminare la limite sunt infinit supra infinit zero supra zero zero ori infinit si 1 la puterea infinit.
Operatii pe cazuri de nedeterminare. Sau folosim urmatoarele limite.