Polinoame Exercitii Rezolvate M1

7 x3 5 x3 2.
Polinoame exercitii rezolvate m1. X1 x2 x3 5. Prea mic textul pe mobil. Download exercitii rezolvate cu polinoame. Cartea este destinat a ˆın primul studen tilor masteranzi s i profesorilor de matematica parcurgerea ei necesit and familiaritate cu noˆ tiunile s i.
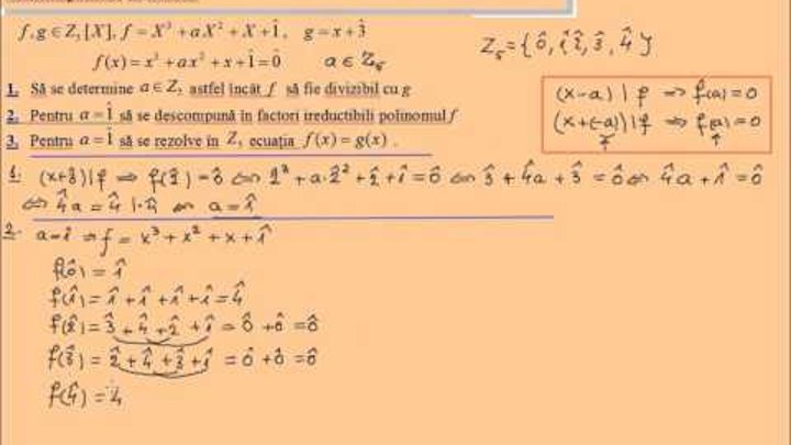
Sa se determine radacinile polinomului p x x3 5x2 2x 24 daca se stie ca x1 x2 7 unde x1 si x2 sunt doua radacini ale polinomului p x. Din prima relatie si conditia x1 x2 7 obtinem. Ecuatii algebrice de grad superior. Schimba orientarea telefonului pe orizontala.
Probleme rezolvate de algebră m1 conf univ dr. 4 cărți de proză și poezie 61 cărţi de matematică şi economie 154. Operatii cu multimi exercitii rezolvate clasa a 6 a variante bac 2020 matematica tehnologic m2 pedagogic. Date in anii trecuti la examenul de bacalaureat la matematica formule bac mate variante m2 rezolvate rezolvari variante m1 si m2 variante m3 rezolvate viziteaza pagina de facebook.
X1x2 x1x3 x2x3 2. Cătălin angelo ioan universitatea danubius din galați 1985 absolvent al facultăţii de matematică din bucureşti 2000 doctor în matematică al universităţii alexandru ioan cuza din iaşi publicaţii. Polinoame test evaluare exercitii rezolvate din variantele de bac matematica 2009 2012 polinoame test evaluare exercitii rezolvate variante bac matematica m1 m2 2009 2017 close acasa. Formulele de transformare a fractiilor zecimale in fractii ordinare exercitii rezolvate matematica variante bac 2021 matematica mate info m1 științe m2.
Incearca probleme noastre rezolvate. Polinoame s i al extinderilor de corpuri comutative precum s i al diferitelor structuri de grup asociate acestora. Exercitii rezolvate cu polinoame marime fisier 290 kb afisari 40608. Teste online evaluare nationala.